Skip to content

Multiplying Matrices Worksheet

    multiplying matrices worksheet

    Download and Print multiplying matrices worksheet Listed below

    Edia Free Math Homework In Minutes Worksheets Library

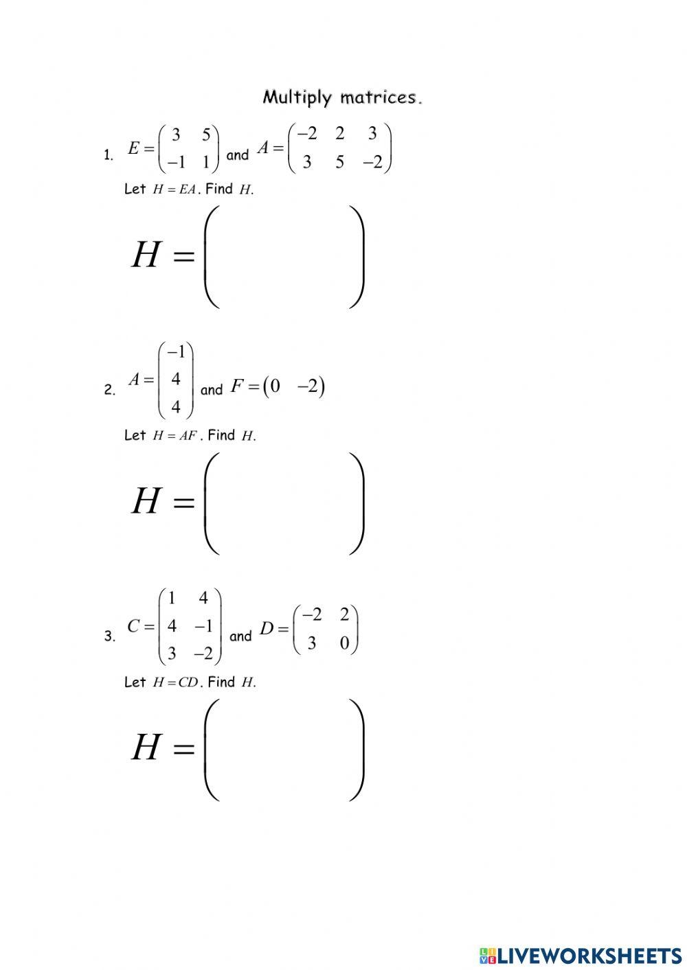
    Multiply Matrices Online Exercise For Live Worksheets Worksheets

    Scalar And Matrices Multiplication Teaching Resources Worksheets

    Multiplication Of Matrices Worksheets Worksheets Library

    Matrix Multiplication Worksheets Math Monks Worksheets Library